1. 개요
양자역학과 양자계산을 처음 접할 때 가장 자주 등장하는 말 중 하나가 유니터리 unitary 이다.
보통은 양자 상태는 유니터리하게 진화한다라고 말하고, 양자계산에서는 게이트는 유니터리 연산이다라고 말한다.
유니터니를 다음처럼 이해하는 과정을 통해 왜 굳이 유니터리여야 하는지, 그냥 행렬이면 안 되는지, 측정과는 무엇이 다른지 이해해본다.
- 유니터리는 양자 상태를 보존 가능한 방식으로 변화시키는 규칙이다
- 유니터리는 확률을 망가뜨리지 않는 변화다.
- 양자계산에서 유니터리는 정보를 잃지 않고 상태를 회전시키는 연산이다.
- 측정은 유니터리와 다르게 정보를 읽는 대신 상태를 붕괴시키는 비가역 과정이다.
즉, 유니터리를 이해하면
평소 양자계산은 무엇으로 이루어지는가와
측정만으로 계산한다는 말이 왜 특별한가가 동시에 정리된다.
2. 고전적 계산과 양자적 계산의 차이
고전 컴퓨터에서는 비트를 다룬다.
0 or 1
양자 컴퓨터에서는 큐비트 qubit 를 다룬다.
단순히 0 이나 1 중 하나가 아니라.

두 상태의 중첩으로 표현된다.
alpha 와 beta 는 복소수이며,
측정했을 때 0이 나올 확률은 alpha^2, 1 이 나올 확류은 beta^2 이다.
전체 확률은 반드시 1 이어야 하므로, 그 둘의 합은 1
이 조건이 매우 중요하다.
양자 상태를 바꾸는 규칙은 아무렇게나 정할수 없다.
상태를 바꾼 뒤에도 전체 확률이 1로 유지되어야 하기 때문이다.
이를 보장하기 위한 변환이 바로 유니터리 변환이다.
3. 유니터리의 가장 직관적인 의미
유니터리는 길이를 보존하는 회전이다.
고정적인 2차원 평면에서 벡터를 생각
어떤 벡터를 회전시키면 방향은 바뀌지만, 길이는 유지,
양자 상태도 이처럼 생각할 수 있는데, 유니터리는 이 벡터의 길이를 보존ㄴ한 채 상태를 바꾸는 연산
- 상태는 바뀐다
- 확률 구조는 유지된다.
- 정보는 사라지지 않는다.
위 세 가지가 동시에 성립하는 변화가 유니터리이다.
그래서 유니터리는 양자계에서 허용된 정상적인 시간 진화를 나타낸다.
4. 수학적으로 유니터리란 무엇인가
U 가 유니터리라는 것은 다음을 뜻한다.

- 켤레전치 ocnjugate transpose
- 항등행렬
이 식의 뜻은 간단하다.
U 를 적용한 뒤 다시 U^dagger 를 적용하면 원래 상태로 정확히 돌아올 수 있다는 뜻이다.
즉 유니터리는 역변환이 존재하는 가역적 변화다.

이 성질 때문에 유니터리는 정보를 잃지 않는다.
중간 계산 과정이 완전히 사라져버리는 것이 아니라 원리적응로 되돌릴 수 있다.
이 점은 측정과 정반대다.
측정은 일반적으로 되돌릴 수 없다.
5. 왜 양자역학에서는 유니터리가 중요한가
양자역학에서 상태는 파동함수나 상태벡터로 표현된다.
이 상태는 시간에 따라 변하는데, 닫힌계에서는 그 변화가 슈뢰딩거 방정식에 의해 주어진다.
이 시간 진화는 보통

위 형태로 쓸 수 있고, 이때 U(t) 가 바로 유니터리 연산자다.
즉 양자역학에서 유니터리는
시간에 따라 상태가 변하는 방식 자체를 나타낸다.
- 상태의 정규화가 보존되어야 하고
- 확률 총합이 1로 유지되어야 하며
- 내적 구조가 보존되어야 하고
- 물리적으로 가능한 시간 진화가 가역적이어야 하기 때문이다.
양자 상태를 물리적으로 일관되게 변화시키는 최소 조건
6. 내적 보존이 왜 중요한가
양자역학에서는 상태들 사이의 내적 inner product 가 중요하다
내적은 단순 숫자가 아닌
- 두 상태가 얼마나 비슷한지
- 서로 얼마나 구별 가능한지
- 간섭이 어떻게 일어나는지
를 결정하는 핵심 구조다
유니터리를 이 내적으로 보존한다.
즉 두 상태에 대해, 유니터를 적용한 뒤에도 그 관계가 유지된다.

유니터리는 단순히 확률만 보존하는 것이 아니라
양자 상태들 사이의 구조 자체를 보존하는 변화라는 뜻이다.
7. 양자계산에서 유니터리는 무엇인가
양자계산에서 게이트는 보통 유니터리다.
예를 들어,
- Hadamard 게이트
- Pauli-X 게이트
- Phase 게이트
- CNOT 게이트
이들은 모두 유니터리 연산이다.
즉 양자 회로 모델은 본질적으로
- 초기 상태 준비
- 유니터리 게이트들을 순서대로 적용
- 마지막에 측정
이라는 구조를 가진다.
이때 계산의 핵심은 측정 전까지 계속 유니터리하게 상태를 조작하는 데 있다.
즉 회로 모델에서 계산은
상태벡터를 유니터리 연산들로 원하는 방향으로 회전시키는 과정이다.
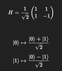
8. 예시 : Hadnamard 게이트는왜 유니터리인가
Hadamard 게이트는 가장 자주 나오는 예시

기저 상태를 중첩 상태로 바꾼다
중요한 점은, 이 변화가 아무렇게나 섞는 것이 아니라
정규화와 직교성을 유지하는 방식으로 섞는 다는 것이다.
정보를 찌그러뜨리지 않고 상태공간 안에서 정확한 회전/반사 변환을 한다고 볼 수 있다.
9. 유니터리는 왜 정보를 잃지 않는 변화인가
고전적으로는 AND, OR 같은 연산은 입력을 완전히 복원할 수 없는 경우가 많다.
하지만 양자계의 닫힌 시간 진화는 유니터리이므로 본질적으로 가역적이다.
즉 유니터리 연산은
입력을 하나의 출력으로 뭉개버리는 것이 아니라,
상태공간 안에서 일대일 대응을 만든다.
이것이 양자계산은 측정 전까지는 정보 손실 없이 진행된다는 말의 뜻이다.
물론 실제 계산 마지막에서는 측정을 하므로 확률적 결과 하나만 얻는다.
하지만 측정 전까지의 회로 자체는 유니터리하다.
10. 유니터리와 측정의 차이
유니터리
- 가역적이다.
- 확률 총합을 보존한다
- 상태의 내적 구조를 보존한다
- 상태를 연속적으로 변화시킨다
- 계산 과정의 핵심이다.
측정
- 일반적으로 비가역적이다
- 상태를 특정 결과에 맞게 붕괴시킨다
- 중첩 정보를 잃게 만든다
- 확률적으로 결과가 나온다
- 보통 계산의 마지막 readout 역할을 한다.
즉
유니터리는 상태를 조작하는 규칙이고,
측정은 상태에서 고전적 결과를 꺼내는 과정이다.
11. 그렇다면 유니터리 없이도 양자계산 가능은 왜 놀라운가
여기서 이전 주제와 연결
보통은 계산의 핵심이 유니터리 게이트라고 생각
그런데 측정 기반 양자계산은, 계산 중 유니터리 게이트를 직접 차례로 걸지 않고도 보편 계산이 가능하다고 말한다.
이게 놀라운 이유는
원래 생각하던 계산 구조가
- 유니터리 연산
- 유니터리 연산
- 유니터리 연산
- 마지막 측정
이었는데
측정 기반 계산에서는
- 먼저 얽힌 자원 상태 준비
- 그 뒤는 측정
- 측정
- 측정
- 고전적 피드포워드
로도 같은 계산 능력을 만들 수 있기 때문
즉 이는 양자 계산의 본질이 계싼 도중 유니터리를 직접 적용하는 것만은 아니다.
12. 핵심 정리
유니터리는 양자역학에서
닫힌계의 정상적인시간 진화를 나타내는 연산이며,
양자계산에서는 게이트의 기본 형태다.
유니터리의 핵심 성질
- 정규화 보존
- 확률 총합 보존
- 내적 구조 보존
- 가역적
- 정보를 잃지 않음
회로 모델 양자계산은 본질적으로
유니터리 연산으로 상태를 조작한 뒤 마지막에 측정하는 구조
반대로 측정은 유니터리와 다르게 비가역적이며
상태를 읽는 대신 중첩을 깨뜨린다.
따라서 측정만으로도 양자계산이 가능하다는 말은
유니터리 게이트열 없이도 양자계산의 보편성이 성립한다는 뜻이어서 개념적으로 매우 인상적이다.
'양자계산과 양자정보' 카테고리의 다른 글
| 강한 처치-튜링 논제, 아날로그 계산, 그리고 양자계산의 노이즈 문제 - 노이즈 앞에서 무너지는 정밀도가 아닌, 극복 대상으로 일정 threshold 이하에서는 제어 가능하다 (0) | 2026.04.02 |
|---|---|
| 처치-튜링 논제, 보편 튜링머신, 계산가능성, 물리적 계산 가능성 (0) | 2026.04.01 |
| 측정만으로 가능한 양자계산 : 유니터리 역학 없이도 계산할 수 있다. (0) | 2026.04.01 |
| 포획 이온계와 초전도 회로 : 초기 양자 알고리즘 구현 플랫폼 정리 (0) | 2026.04.01 |
| 1.2 양자비트 (2) | 2023.11.23 |